I.
The smartest person I’ve ever known had a habit that, as a teenager, I found striking. After he’d prove a theorem, or solve a problem, he’d go back and continue thinking about the problem and try to figure out different proofs of the same thing. Sometimes he’d spend hours on a problem he’d already solved.
I had the opposite tendency: as soon as I’d reached the end of the proof, I’d stop since I’d “gotten the answer”.
Afterwards, he’d come out with three or four proofs of the same thing, plus some explanation of why each proof is connected somehow. In this way, he got a much deeper understanding of things than I did.
I concluded that what we call 'intelligence' is as much about virtues such as honesty, integrity, and bravery, as it is about 'raw intellect’.
Intelligent people simply aren’t willing to accept answers that they don’t understand — no matter how many other people try to convince them of it, or how many other people believe it, if they aren’t able to convince them selves of it, they won’t accept it.
Importantly, this is a ‘software’ trait & is independent of more ‘hardware’ traits such as processing speed, working memory, and other such things.
Moreover, I have noticed that these ‘hardware’ traits vary greatly in the smartest people I know -- some are remarkably quick thinkers, calculators, readers, whereas others are ‘slow’. The software traits, though, they all have in common -- and can, with effort, be learned.
What this means is that you can internalize good intellectual habits that, in effect, “increase your intelligence”. ‘Intelligence’ is not fixed.
II.
This quality of “not stopping at an unsatisfactory answer” deserves some examination.
One component of it is energy: thinking hard takes effort, and it’s much easier to just stop at an answer that seems to make sense, than to pursue everything that you don’t quite get down an endless, and rapidly proliferating, series of rabbit holes.
It’s also so easy to think that you understand something, when you actually don’t. So even figuring out whether you understand something or not requires you to attack the thing from multiple angles and test your own understanding.
This requires a lot of intrinsic motivation, because it’s so hard; so most people simply don’t do it.
The Nobel Prize winner William Shockley was fond of talking about “the will to think”:
Motivation is at least as important as method for the serious thinker, Shockley believed...the essential element for successful work in any field was “the will to think”. This was a phrase he learned from the nuclear physicist Enrico Fermi and never forgot. “In these four words,” Shockley wrote later, “[Fermi] distilled the essence of a very significant insight: A competent thinker will be reluctant to commit himself to the effort that tedious and precise thinking demands -- he will lack ‘the will to think’ -- unless he has the conviction that something worthwhile will be done with the results of his efforts.” The discipline of competent thinking is important throughout life... (source)
But it’s not just energy. You have to be able to motivate yourself to spend large quantities of energy on a problem, which means on some level that not understanding something — or having a bug in your thinking — bothers you a lot. You have the drive, the will to know.
Related to this is honesty, or integrity: a sort of compulsive unwillingness, or inability, to lie to yourself. Feynman said that the first rule of science is that you do not fool yourself, and you are the easiest person to fool. It is uniquely easy to lie to yourself because there is no external force keeping you honest; only you can run the constant loop of asking “do I really understand this?”.
(This is why writing is important. It’s harder to fool yourself that you understand something when you sit down to write about it and it comes out all disjointed and confused. Writing forces clarity.)
III.
The physicist Michael Faraday believed nothing without being able to experimentally demonstrate it himself, no matter how tedious the demonstation.
Simply hearing or reading of such things was never enough for Faraday. When assessing the work of others, he always had to repeat, and perhaps extend, their experiments. It became a lifelong habit—his way of establishing ownership over an idea. Just as he did countless times later in other settings, he set out to demonstrate this new phenomenon to his own satisfaction. When he had saved enough money to buy the materials, he made a battery from seven copper halfpennies and seven discs cut from a sheet of zinc, interleaved with pieces of paper soaked in salt water. He fixed a copper wire to each end plate, dipped the other ends of the wires in a solution of Epsom salts (magnesium sulfate), and watched. (source)
Understanding something really deeply is connected to our physical intuition. A simple “words based” understanding can only go so far. Visualizing something, in three dimensions, can help you with a concrete “hook” that your brain can grasp onto and use as a model; understanding then has a physical context that it can “take place in”.
This is why Jesus speaks in parables throughout the New Testament — in ways that stick with you long after you’ve read them — rather than just stating the abstract principle. “Are not two sparrows sold for a cent? And yet not one of them will fall to the ground apart from your Father.” can stick with you forever in a way that “God watches over all living beings” will not.
Faraday, again, had this quality in spades -- the book makes clear that this is partly because he was bad at mathematics and thus understood everything through the medium of experiments, and contrasts this with the French scientists (such as Ampere) who understood everything in a highly abstract way.
But Faraday’s physical intuition led him to some of the most crucial discoveries in all of science:
Much as he admired Ampère's work, Faraday began to develop his own views on the nature of the force between a current-carrying wire and the magnetic needle it deflected. Ampère's mathematics (which he had no reason to doubt) showed that the motion of the magnetic needle was the result of repulsions and attractions between it and the wire. But, to Faraday, this seemed wrong, or, at least, the wrong way around. What happened, he felt, was that the wire induced a circular force in the space around itself, and that everything else followed from this. The next step beautifully illustrates Faraday's genius. Taking Sarah's fourteen-year-old brother George with him down to the laboratory, he stuck an iron bar magnet into hot wax in the bottom of a basin and, when the wax had hardened, filled the basin with mercury until only the top of the magnet was exposed. He dangled a short length of wire from an insulated stand so that its bottom end dipped in the mercury, and then he connected one terminal of a battery to the top end of the wire and the other to the mercury. The wire and the mercury now formed part of a circuit that would remain unbroken even if the bottom end of the wire moved. And move it did—in rapid circles around the magnet! (source)
Being able to generate these concrete examples, even when you’re not physically doing experiments, is important.
I recently saw this striking representation of the “bag of words” model in NLP. If you were reading this in the usual dry mathematical way these things are represented, and then forced yourself to come up with a visualization like this, then you’d be much further on your way to really grasping the thing.
Conversely, if you’re not coming up with visuals like this, and your understanding of the thing remains on the level of equations or abstract concepts, you probably do not understand the concept deeply and should dig further.
Another quality I have noticed in very intelligent people is being unafraid to look stupid.
Malcolm Gladwell on his father:
My father has zero intellectual insecurities... It has never crossed his mind to be concerned that the world thinks he’s an idiot. He’s not in that game. So if he doesn’t understand something, he just asks you. He doesn’t care if he sounds foolish. He will ask the most obvious question without any sort of concern about it... So he asks lots and lots of dumb, in the best sense of that word, questions. He’ll say to someone, ‘I don’t understand. Explain that to me.’ He’ll just keep asking questions until he gets it right, and I grew up listening to him do this in every conceivable setting. If my father had met Bernie Madoff, he would never have invested money with him because he would have said, ‘I don’t understand’ a hundred times. ‘I don’t understand how that works’, in this kind of dumb, slow voice. ‘I don’t understand, sir. What is going on?’
Most people are not willing to do this -- looking stupid takes courage, and sometimes it’s easier to just let things slide. It is striking how many situations I am in where I start asking basic questions, feel guilty for slowing the group down, and it turns out that nobody understood what was going on to begin with (often people message me privately saying that they’re relieved I asked), but I was the only one who actually spoke up and asked about it.
This is a habit. It’s easy to pick up. And it makes you smarter.
IV.
I remember being taught calculus at school and getting stuck on the “dy/dx” notation (aka Leibniz notation) for calculus.
The “dy/dx” just looked like a fraction, it looked like we were doing division, but we weren’t actually doing division. “dy/dx” doesn’t mean “dy” divided by “dx”, it means “the value of an infinitesimal change in y with respect to an infinitesimal change in x”, and I didn’t see how you could break this thing apart as though it was simple division.
At one point the proof of the fundamental theorem of calculus involved multiplying out a polynomial, and along the way you could cancel out “dy*dx” because “both of these quantities are infinitesimal, so in effect this can be cancelled out”. This reasoning did not make sense.
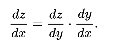
The “proof” of the chain rule we were given looked like this.
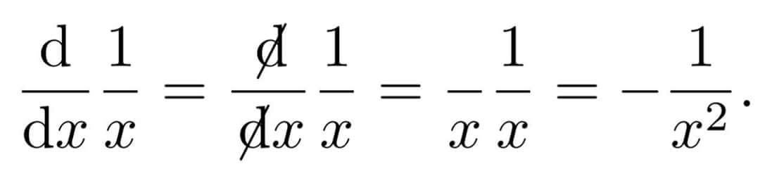
(Amusingly, you can even get correct results using invalid mathematics, like this. Even though this is clearly invalid, it doesn’t feel far off the “valid” proof of the chain rule I was taught.)

It turns out that my misgivings were right, and that the Leibniz notation is basically just a convenient shorthand and that you more or less can treat those things “as if” they are fractions, but the proof is super complicated etc. Moreover, the Leibniz shorthand is actually far more powerful and easier to work with than Newton’s functions-based shorthand, which is why mainland Europe got way ahead of England (which stuck with Newton’s notation) in calculus. And then all of the logical problems didn’t really get sorted out until Riemann came along 200 years later and formulated calculus in terms of limits. But all of that went over my head in high school.
At the time, I was infuriated by these inadequate proofs, but I was under time pressure to just learn the operations so that I could answer exam questions because the class needed to move onto the next thing.
And since you actually can answer the exam questions and mechanically perform calculus operations without ever deeply understanding calculus, it’s much easier to just get by and do the exam without really questioning the concepts deeply -- which is in fact what happens for most people. (See my essay on education.)
How many people actually go back and try and understand this, or other such topics, in a deeper way? Very few. Moreover, the ‘meta’ lesson is: don’t question it too deeply, you’ll fall behind. Just learn the algorithm, plug in the numbers, and pass your exams. Speed is of the essence. In this way, school kills the “will to understanding” in people.
My countervailing advice to people trying to understand something is: go slow. Read slowly, think slowly, really spend time pondering the thing. Start by thinking about the question yourself before reading a bunch of stuff about it. A week or a month of continuous pondering about a question will get you surprisingly far.
And you’ll have a semantic mental ‘framework’ in your brain on which to then hang all the great things you learn from your reading, which makes it more likely that you’ll retain that stuff as well. I read somewhere that Bill Gates structures his famous “reading weeks” around an outline of important questions he’s thought about and broken down into pieces. e.g. he’ll think about “water scarcity” and then break it down into questions like “how much water is there in the world?”, “where does existing drinking water come from?”, “how do you turn ocean water into drinking water”, etc., and only then will he pick reading to address those questions.
This method is far more effective than just reading random things and letting them pass through you.
V.
The best thing I have read on really understanding things is the Sequences, especially the section on Noticing Confusion.
There are some mantra-like questions it can be helpful to ask as you’re thinking through things. Some examples:
- But what exactly is X? What is it? (h/t Laura Deming’s post)
- Why must X be true? Why does this have to be the case? What is the single, fundamental reason?
- Do I really believe that this is true, deep down? Would I bet a large amount of money on it with a friend? VI.
Two parables:
First, Ezra Pound’s parable of Agassiz, from his “ABC of Reading” (incidentally one of the most underrated books about literature). I’ve preserved his quirky formatting:
No man is equipped for modern thinking until he has understood the anecdote of Agassiz and the fish: A post-graduate student equipped with honours and diplomas went to Agassiz to receive the final and finishing touches. The great man offered him a small fish and told him to describe it. Post-Graduate Student: “That’s only a sun-fish” Agassiz: “I know that. Write a description of it.” After a few minutes the student returned with the description of the Ichthus Heliodiplodokus, or whatever term is used to conceal the common sunfish from vulgar knowledge, family of Heliichterinkus, etc., as found in textbooks of the subject. Agassiz again told the student to describe the fish. The student produced a four-page essay. Agassiz then told him to look at the fish. At the end of the three weeks the fish was in an advanced state of decomposition, but the student knew something about it.
The second, one of my favorite passages from “Zen and the Art of Motorcycle Maintenance”:
He'd been having trouble with students who had nothing to say. At first he thought it was laziness but later it became apparent that it wasn't. They just couldn't think of anything to say. One of them, a girl with strong-lensed glasses, wanted to write a five-hundredword essay about the United States. He was used to the sinking feeling that comes from statements like this, and suggested without disparagement that she narrow it down to just Bozeman. When the paper came due she didn't have it and was quite upset. She had tried and tried but she just couldn't think of anything to say. He had already discussed her with her previous instructors and they'd confirmed his impressions of her. She was very serious, disciplined and hardworking, but extremely dull. Not a spark of creativity in her anywhere. Her eyes, behind the thick-lensed glasses, were the eyes of a drudge. She wasn't bluffing him, she really couldn't think of anything to say, and was upset by her inability to do as she was told. It just stumped him. Now he couldn't think of anything to say. A silence occurred, and then a peculiar answer: "Narrow it down to the main street of Bozeman." It was a stroke of insight. She nodded dutifully and went out. But just before her next class she came back in real distress, tears this time, distress that had obviously been there for a long time. She still couldn't think of anything to say, and couldn't understand why, if she couldn't think of anything about all of Bozeman, she should be able to think of something about just one street. He was furious. "You're not looking!" he said. A memory came back of his own dismissal from the University for having too much to say. For every fact there is an infinity of hypotheses. The more you look the more you see. She really wasn't looking and yet somehow didn't understand this. He told her angrily, "Narrow it down to the front of one building on the main street of Bozeman. The Opera House. Start with the upper left-hand brick." Her eyes, behind the thick-lensed glasses, opened wide. She came in the next class with a puzzled look and handed him a five- thousand-word essay on the front of the Opera House on the main street of Bozeman, Montana. "I sat in the hamburger stand across the street," she said, "and started writing about the first brick, and the second brick, and then by the third brick it all started to come and I couldn't stop. They thought I was crazy, and they kept kidding me, but here it all is. I don't understand it." Neither did he, but on long walks through the streets of town he thought about it and concluded she was evidently stopped with the same kind of blockage that had paralyzed him on his first day of teaching. She was blocked because she was trying to repeat, in her writing, things she had already heard, just as on the first day he had tried to repeat things he had already decided to say. She couldn't think of anything to write about Bozeman because she couldn't recall anything she had heard worth repeating. She was strangely unaware that she could look and see freshly for herself, as she wrote, without primary regard for what had been said before. The narrowing down to one brick destroyed the blockage because it was so obvious she had to do some original and direct seeing.
The point of both of these parables: nothing beats direct experience. Get the data yourself. This is why I wanted to analyze the coronavirus genome directly, for example. You develop some basis in reality by getting some first-hand data, and reasoning up from there, versus starting with somebody else’s lossy compression of a messy, evolving phenomenon and then wondering why events keep surprising you.
People who have not experienced the thing are unlikely to be generating truth. More likely, they’re resurfacing cached thoughts and narratives. Reading popular science books or news articles is not a substitute for understanding, and may make you stupider, by filling your mind with narratives and stories that don’t represent your own synthesis.
Even if you can’t experience the thing directly, try going for information-dense sources with high amounts of detail and facts, and then reason up from those facts. On foreign policy, read books published by university presses -- not The Atlantic or The Economist or whatever. You can read those after you’ve developed a model of the thing yourself, against which you can judge the popular narratives.
Another thing the parable about the bricks tells us: understanding is not a binary “yes/no”. It has layers of depth. My friend understood Pythagoras’s theorem far more deeply than I did; he could prove it six different ways and had simply thought about it for longer.
The simplest things can reward close study. Michael Nielsen has a nice example of this -- the equals sign:
I first really appreciated this after reading an essay by the mathematician Andrey Kolmogorov. You might suppose a great mathematician such as Kolmogorov would be writing about some very complicated piece of mathematics, but his subject was the humble equals sign: what made it a good piece of notation, and what its deficiencies were. Kolmogorov discussed this in loving detail, and made many beautiful points along the way, e.g., that the invention of the equals sign helped make possible notions such as equations (and algebraic manipulations of equations). Prior to reading the essay I thought I understood the equals sign. Indeed, I would have been offended by the suggestion that I did not. But the essay showed convincingly that I could understand the equals sign much more deeply. (link)
The photographer Robert Capa advised beginning photographers: “If your pictures aren't good enough, you're not close enough”. (This is good fiction writing advice, by the way.)
It is also good advice for understanding things. When in doubt, go closer.
Thanks to Jose-Luis Ricon for reading a draft of this essay.
Follow me on Twitter: @nabeelqu